OPPGAVE b3

PROGRAMMERING AV KRETS

 

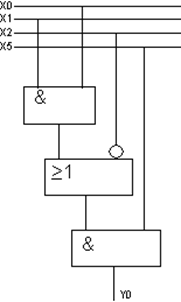
FUNKSJONSPLAN

 

 

 

 

 

 

Du skal realisere denne kretsen i et program på MELSOFT. Det innebærer at du må lage koblingen i funksjonsplanet til en ladderversjon.

 

 

 

 

 

 

 

 

Fyll ut diagrammet når du prøver programmet. Videre bør du skrive av den instruksjonslisten som du får fram når dette programmet er i funksjon.

 

 

TIPS.: Blokker

Svar til læreren