| 
   BLOKKPROGRAMMERING  | 
 |||
| 
   FUNKSJONSPLAN  | 
  
   INSTRUKSJONSLISTE  | 
  
   LADDERDIAGRAM  | 
 |
| 
   
  | 
  
   | 
  
   | 
  
   
  | 
 
| 
   LD  | 
  
   X5  | 
 ||
| 
   LDI  | 
  
   X2  | 
 ||
| 
   LD  | 
  
   X1  | 
 ||
| 
   AND  | 
  
   X0  | 
 ||
| 
   ORB  | 
  
   | 
 ||
| 
   ANB  | 
  
   | 
 ||
| 
   OUT
    | 
  
   Y0  | 
 ||
| 
   END  | 
  
   | 
 ||
| 
   | 
  
   | 
 ||
| 
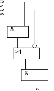
   Hver gang, når du begynner et programmodul med instruksjonen LD, starter du en ny
  modul. Normalt skal en slik modul avsluttes med en beskjed om hva modulen
  skal utføre. Dersom du avslutter modulen uten
  å gi denne beskjeden, så vil maskinen godta dette. Du kan starte rett på en
  ny modul. Slik kan du lage flere moduler, uten at du gir PLS- maskinen
  beskjed om hva den skal utføre. Du kan nå bruke instruksjonen ANB, eller du kan bruke instruksjonen ORB.
  Med disse instruksjonene gir du PLS- maskinen beskjed om å legge sammen de to
  siste modulene i programmet ditt. Hver gang når du bruker denne instruksjonen
  tilfører du en ny modul til koblingen din.    | 
 |||