|
OPPGAVE A5 BLOKKPROGRAMMERING TIPS |
|||
|
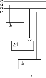
FUNKSJONSPLAN |
INSTRUKSJONSLISTE |
LADDERDIAGRAM |
|
|
|
|
|
|
|
LD |
X5 |
||
|
LDI |
X2 |
||
|
LD |
X1 |
||
|
AND |
X0 |
||
|
ORB |
|
||
|
ANB |
|
||
|
OUT
|
Y0 |
||
|
END |
|
||
|
|
|
||
|
Fyll ut diagrammet når du prøver programmet. Send resultatet
til læreren. |
|
||
|
|
|||