| 
   OPPGAVE b3  PROGRAMMERING AV KRETS  | 
 ||
| 
   FUNKSJONSPLAN 
  | 
  
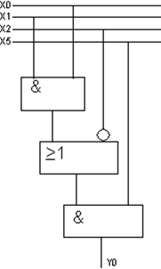
   Du skal realisere denne kretsen i et program på
  MELSOFT. Det innebærer at du må lage koblingen i funksjonsplanet til en
  ladderversjon.   | 
 |
| 
   Fyll
  ut diagrammet når du prøver programmet. Videre bør du skrive av den instruksjonslisten
  som du får fram når dette programmet er i funksjon.   | 
  
   
  | 
 |
| 
   TIPS.: Blokker Svar til læreren  | 
 ||